深圳技能提升培训补贴申请条件
2020-12-28 17:05:56
fx358财富网
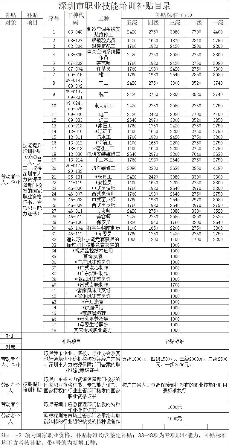
【导语】:毕业2年内的深圳户籍失业人员可以申请1000元-10010元不等的技能提升培训补贴,每人每年最多可享受3次哦。具体的申请条件见正文!申请条件如果你是在深圳考取到证书:取得
【导语】:毕业2年内的深圳户籍失业人员可以申请1000元-10010元不等的技能提升培训补贴,每人每年最多可享受3次哦。具体的申请条件见正文!
申请条件
如果你是在深圳考取到证书:
取得《深圳市职业技能培训补贴目录》内深圳市相关部门核发的证书(不含复审换证)。
如果你是在广东省内深圳市外考取到证书:
1、取得《补贴目录》内广东省相关部门核发的证书(不含复审换证);
2、且符合以下条件之一:
①深圳户籍人员;
②持深圳有效居住证人员;
③深圳登记失业人员;
④深圳正常缴交社会保险费人员;
⑤在深圳公共就业服务机构进行离校两年未就业实名登记的深圳高校毕业生。
深圳市职业技能补贴目录
点击图片查看大图
